過度現象
一般に、回路に電圧を加えても、キャパシタンスCやインダクタンスLが含まれていると
定常状態に移行するまでに、変化に時間を要する。
これを過度現象というのは知られている。
ここでは、その過度現象というのを視覚的に、理解を深めようとしています。
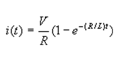
まず、以下のような回路図があったとして、その時の電流は


しかし、酷い回路図ですね(笑)
まぁまぁ、この時の過度現象のグラフを書くプログラムを下に表示します。
function tranRL(r,l,t)
%
% R−L回路の過度現象シミュレート
% R、Lはコマンドから任意
% 単位は、Ω、H
% 出力は過度応答を図示
%
%
tau=r/l; % 時定数τの計算
tt=0:t; % 時間(秒)
v=100; % 電圧
i=(v/r)*(1-exp(-1*tau*tt)); % 過度電流の計算
plot(tt,i);
xlabel('t [s]');
ylabel('i(t) [A]');
|
| >tranRL(100,500,30) |



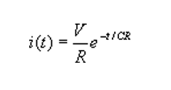
function tranRC(r,c,t)
%
% R−C回路の過度現象シミュレート
% R、Cはコマンドから任意
% 単位は、Ω、F
% 出力は過度応答を図示
%
%
tau=r*c; % 時定数τの計算
tt=0:t; % 時間(秒)
v=100; % 電圧
i=(v/r)*exp(-1*tt/tau); % 過度電流の計算
plot(tt,i);
xlabel('t [s]');
ylabel('i(t) [A]');
|
| >tranRC(100,0.04,30) |
